Земельный участок, земли населенных пунк...

№ 943749Размещено: 30.01.26 19:22
Республика Крым
Описание
Земельный участок, земли населенных пунктов, кадастровый номер 90:25:070201:707, площадью 540+/-8 кв.м., расположенный по адресу: Республика Крым, г. Ялта, с. Оползневое, мкр. Зори России-2, уч. 11. На земельном участке имеются ограничения, в т.ч. предусмотренные ст. 56 ЗК РФ.

Вид разрешённого использования земельного участка: Для индивидуального жилищного строительства
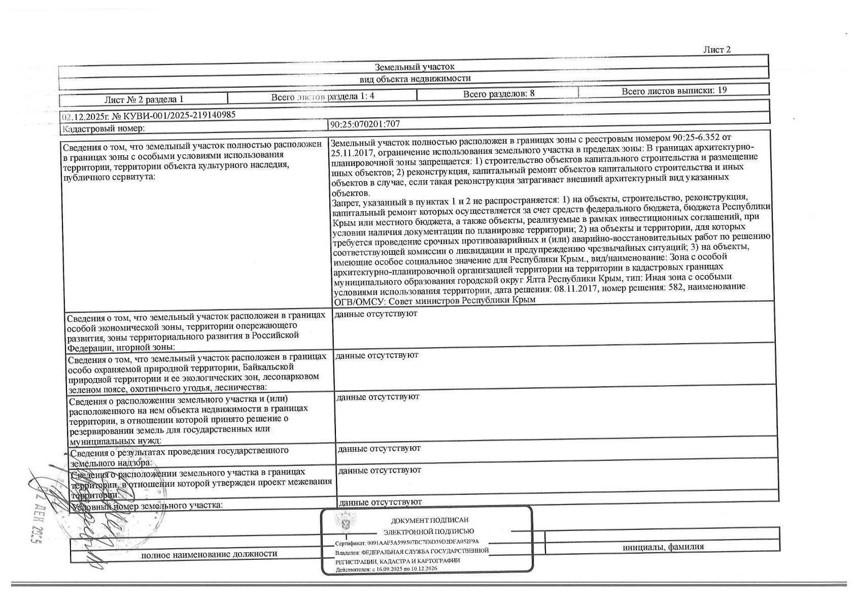
Кадастровый номер земельного участка: 90:25:070201:707
Площадь земельного участка: 540 м^2

Местонахождение имущества: Респ Крым, м.о. город-курорт Ялта, с Оползневое мкр. Зори России-2, уч. 11
Категория объекта: Земли населенных пунктов
Форма собственности: Иная собственность

Вид торгов : Продажа
Текущая цена:
3 112 200 ₽

Похожие лоты

Краснодарский край
Аукцион
6 597 150 ₽
Земельный участок площадью 457 кв.м., кадастровый номер 23:4...
Торги до: 10.03.26 12:00
Позвонить
Краснодарский край
Аукцион
8 540 700 ₽
Земельный участок площадью 480 кв.м., кадастровый номер: 23:...
Торги до: 10.03.26 12:00
Позвонить
Краснодарский край
Публичное предложение
2 457 000 ₽
Земельный участок, кадастровый номер 23:49:0308002:10244, об...
Торги до: 10.03.26 09:00
Позвонить
Краснодарский край
1/2
Аукцион
10 318 350 ₽
Квартира, общей площадью 55.2 кв.м, ​кадастровый (условный) ...
Торги до: 27.03.26 08:00
Позвонить